搜索关键词:
产品名称,产品种类,型号,
测试标准或规范,生产商,技术种类,应用等等

急性经口毒性测试仪(霍恩氏法)
返回
分享到
仪器介绍
实验目的:
急性经口毒性试验是评估受试物毒性的**步。通过短时间经口染毒初步了解受试物的毒性特征和剂量-反应关系,为急性毒性分级、标签管理和其他毒理学试验剂量选择提供依据。
实验概述
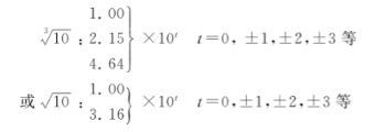
霍恩氏法(Horn's method)亦称改良维氏法或简化概率单位法。采用几何级数的四个递次剂量。各个剂量组动物数相同,染毒后根据每组动物的死亡数,从计算表格中查找受试物的LD.和95%可信区间。剂量系列递增公比为:
因递增公比√10的剂量系列间距较大,精确度较差,一般多采用公比为/10的剂量系列。本方法计算方便,简单易行。缺点是LD…估计值不够精确,可信区间范围较大。但可初步了解受试物的毒性特点
应用范围
应用于科研、农业、卫生、教育、雾霾状态可吸入颗粒染毒效果研究等各个领域
符合标准:
GB/T 15670.2-2017部《农药登记毒理学试验方法第2部分:急性经口毒性试验霍恩氏法》

实验介绍
实验设计方案:
1)4个剂量组;
2)每组动物数相等:每组4只或5只;
3)设计剂量时可根据化学物致死剂量范围的宽窄应用两个剂量系列,其组距分别为2.15倍和3.16倍。根据每组动物数、组距和每组动物死亡数,即可从Horn氏表中查得LD50及其95%可信限
实验优缺点
1)使用动物数少;
2)可直接从Horn氏表查出LD50及其95%可信限,不需计算,甚为简便。
3)但LD50,的95%可信区间范围较大,方法精确度尚不够。


基本配置:
主机 一台
电源线 一根
说明书 一本
合格证 一个
保修卡 一个
铭牌 一个
天平:(选配)



